ATP

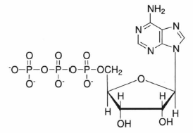
 ATP アデノシン5'-三リン酸(adenosine tri-phosphate)の略称.アデノシンの5'位のヒドロキシル基にリン酸が3個結合した化合物.このリン酸間の2個所のピロリン酸結合を形成するためには,リン酸どうしの分子間の電気的反発を抑えながら結合させるなどの要因で単純な脱水結合としては高エネルギーが必要であり,高エネルギー結合と呼ばれる.ATPが加水分解されてADPとリン酸が生じるときには,標準状態で31 kJmol-1 (通常,標準自由エネルギー変化:-31 kJmol-1と表す), ATPがAMPとピロリン酸(PPi)になるときには32 kJ mol-1 の熱が生じる.このため,生体内の多くの反応は,それ自身はエネルギーの供給がないと起こらない反応(吸エルゴン反応)であっても, ATPの加水分解を同時に起こすことによって得られるエネルギーを利用して,それを可能にしている.また,筋収縮の駆動力を生み出しているミオシンATPaseは, ATPを加水分解しながらアクチン線維上を移動するので,ATPの加水分解エネルギーを運動エネルギーに変換することができる.一方,イオンを輸送するATPaseでは, ATPのもっているエネルギーが膜を介したイオンの電気化学的ポテンシャル差(位置エネルギー)に変換される.ATPは生体内で起こる多くの反応にエネルギーを供給する役割を果たしており,エネルギー通貨と呼ばれている.
 細胞内では,1分子のグルコースが解糖系によって分解され2分子のピルビン酸を生じるまでに,4分子のATPの合成と2分子のATPの加水分解が起こるので,差し引き2分子のATPが得られる.これを基質レベルのリン酸化という.さらに,2分子のピルビン酸がミトコンドリア内でCO2に完全に酸化されると,ATP合成酵素によっておよそ36分子(ATP合成酵素のプロトン輸送を担うcサブユニットの数が生物種によって異なるため、この数は一定でない.また化学浸透機構を介しているため,整数にならないと考えられる)のATPを生じる.一方,葉緑体では光エネルギーの捕捉によって光化学反応が進行し,水の分解からNADPの還元に至る光合成電子伝達反応によって生じるチラコイド膜内外のプロトンの電気化学的ポテンシャル差を利用してATP合成酵素によってATPがつくられる.このATPに蓄えられたエネルギーは主として二酸化炭素の還元反応に用いられる.

ATP.png

関連項目


トップ   新規 一覧 検索 最終更新   ヘルプ   最終更新のRSS